Clin Res Cardiol (2021). 10.1007/s00392-021-01933-9

Patient-Reported Outcome Measures as Novel Predictors for one Year Mortality after the TAVI Procedure
A. Berkowitsch1, L.-H. Tran1, P. C. Seppelt1, A. M. Zeiher1, M. Zisiopoulou1, M. Vasa-Nicotera1
1Med. Klinik III - Kardiologie Zentrum der Inneren Medizin, Universitätsklinikum Frankfurt, Frankfurt am Main;

Background: Patient-reported outcome measures (PROMs) capture a person’s subjective perception of their own health through questionnaires. Only few studies have used PROMs as predictors of pivotal clinical outcomes after TAVI implantation. The aim of this study was to analyse the predictive value of PROMs in combination with traditional clinical and biochemical risk factors on one-year mortality based on data of the TAVI Scorecard Database of our department. 

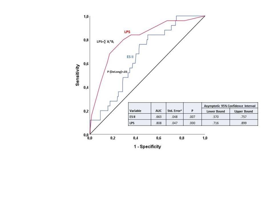
Methods: A total of 299 patients (152 male) aged 81 (IQR: 78-85) years, who underwent a TAVI procedure since 2019 in our institution were enrolled in this prospective study.  Baseline clinical (including EuroScore II) and biochemical outcomes, comorbidities, events and PROMs (Clinical Frailty Scale (CFS), EQ-5D-5L and Kansas City Cardiomyopathy Questionnaire (KCCQ)) were assessed within 48 hours before the TAVI procedure. Following comorbidities and events were considered: myocardial infarction, cardiogenic shock (CS), atrial fibrillation, coronary artery disease, aortic aneurysm, diabetes mellitus, COPD and neurological dysfunction.  The following biochemical markers were evaluated: Hb, creatinine, cystatin C, NTproBNP and GFR. One-year mortality was the primary endpoint. Both a univariate Cox regression model and a multivariate analysis were done to identify independent predictors. Additionally, ROC curve analysis of continuous variables was performed and optimal cut-off points were identified. Finally, the linear predictor score (LPS) describing the probability of a given patient to reach the endpoint was the sum of the respective regression coefficients (B) multiplied with the independent predictor values (X). ROC curve comparison between LPS and ES II was done using DeLong- test. 

Results: A total of 25 (8.36%) patients died within 12 months after the procedure. Univariate association with one-year mortality was confirmed for age, CS, CFS, KCCQ, GFR, NTproBNP, and ES II.  The multivariate regression model revealed age, CS, KCCQ and NT pro BNP to be independent predictors for one-year mortality after TAVI (see table). The resulting ROC curves for LPS and ES II and the corresponding data are shown in figure 1.

Conclusion: Combination of KCCQ and traditional clinical parameters (age, CS, NT pro BNP) enhances significantly the predictive accuracy of one-year mortality after TAVI procedure compared to ES II. Therefore, these parameters should be used as key performance indicators of the TAVI Scorecard to predict one-year mortality. These results should be validated in multicenter study.

*M. Zisiopoulou and PD Dr. M. Vasa-Nicotera are joint senior authors

X

AUC(95% CI)

P (ROC)

Cut-off

HR _ adjusted

B

P

Age

0.682(0.590-0.773)

0.002

80

6.009 (1.393-25.926)

1.793

0.016

EQ-5D

0.618(0.502-0.733)

0.047

50

0.976 (0.381-2.499)

 

0.960

CFS

0.685(0.579-0.791)

0.002

4

1.783 (0.656-4.845)

 

0.229

KCCQ

0.654(0.540-0.768)

0.009

30

3.362 (1.459-7.747)

1.212

0.004

GFR

0.655(0.555-0.755)

0.009

40

1.595 (0.685-3.715)

 

0.279

NTproBNP

0.687(0.591-0.784)

0.002

2500

3.689 (1.364-9.978)

1.305

0.010

CS

 

2.763 (1.215-6.287)

1.016

0.015



https://dgk.org/kongress_programme/ht2021/P1026.htm